L’Arcep publie les résultats de sa campagne 2024 de mesure de la qualité de service aux Antilles, en Guyane, à Mayotte et à La Réunion. L’ensemble des données est disponible sur le site « Mon réseau mobile » et en open data.
Ces publications permettent aux consommateurs ultramarins de comparer les performances des opérateurs, et aux élus locaux de poser un diagnostic sur l’état de la connectivité mobile de leur territoire.
Plus de 528 000 mesures ont été réalisées entre janvier et mai 2024 sur les territoires de la Guadeloupe, la Martinique, la Guyane, Saint-Barthélemy, Saint-Martin, Mayotte et La Réunion, pour dix opérateurs mobiles au total. Les mesures ont porté sur les services mobiles les plus utilisés – navigation web, visionnage de vidéos, téléchargement, appels vocaux et réception de SMS – afin d’évaluer la performance des réseaux de l’ensemble des opérateurs ultra-marins, de manière strictement comparable, et dans des conditions d’usages diversifiés.
Comme elle l’a fait à l’occasion de la dernière campagne en Métropole, l’Arcep a fait évoluer les indicateurs de débits qui sont présentés dans son enquête pour mieux refléter les différents types d’usages courants effectués par les utilisateurs avec leur mobile.
La nouvelle présentation des indicateurs de débits permet de mieux informer les consommateurs sur les débits adaptés en fonction de leurs besoins spécifiques. Elle met en avant la proportion des mesures ayant relevé un débit descendant supérieur à chacun des seuils indiqués ci-dessous, plutôt que la moyenne des débits descendantmesurés :
• 3 Mbit/s : débit adapté aux usages les moins exigeants de l’internet mobile tels que la navigation Web ;
• 8 Mbit/s : débit adapté aux usages les plus courants, tel que le visionnage vidéo ;
• 30 Mbit/s : débit adapté aux usages les plus exigeants, comme l’utilisation d’outils collaboratifs dans un cadre professionnel.
Ces nouveaux indicateurs de qualité de service mobile reflètent davantage l’expérience des utilisateurs.Cette approche a également pour bénéfice de ne pas créer d’incitation à une course au débit chez les opérateurs, et de s’inscrire dans la démarche « Pour un numérique soutenable » initiée par l’Arcep.
Ces publications permettent aux consommateurs ultramarins de comparer les performances des opérateurs, et aux élus locaux de poser un diagnostic sur l’état de la connectivité mobile de leur territoire.
Plus de 528 000 mesures ont été réalisées entre janvier et mai 2024 sur les territoires de la Guadeloupe, la Martinique, la Guyane, Saint-Barthélemy, Saint-Martin, Mayotte et La Réunion, pour dix opérateurs mobiles au total. Les mesures ont porté sur les services mobiles les plus utilisés – navigation web, visionnage de vidéos, téléchargement, appels vocaux et réception de SMS – afin d’évaluer la performance des réseaux de l’ensemble des opérateurs ultra-marins, de manière strictement comparable, et dans des conditions d’usages diversifiés.
Comme elle l’a fait à l’occasion de la dernière campagne en Métropole, l’Arcep a fait évoluer les indicateurs de débits qui sont présentés dans son enquête pour mieux refléter les différents types d’usages courants effectués par les utilisateurs avec leur mobile.
La nouvelle présentation des indicateurs de débits permet de mieux informer les consommateurs sur les débits adaptés en fonction de leurs besoins spécifiques. Elle met en avant la proportion des mesures ayant relevé un débit descendant supérieur à chacun des seuils indiqués ci-dessous, plutôt que la moyenne des débits descendantmesurés :
• 3 Mbit/s : débit adapté aux usages les moins exigeants de l’internet mobile tels que la navigation Web ;
• 8 Mbit/s : débit adapté aux usages les plus courants, tel que le visionnage vidéo ;
• 30 Mbit/s : débit adapté aux usages les plus exigeants, comme l’utilisation d’outils collaboratifs dans un cadre professionnel.
Ces nouveaux indicateurs de qualité de service mobile reflètent davantage l’expérience des utilisateurs.Cette approche a également pour bénéfice de ne pas créer d’incitation à une course au débit chez les opérateurs, et de s’inscrire dans la démarche « Pour un numérique soutenable » initiée par l’Arcep.
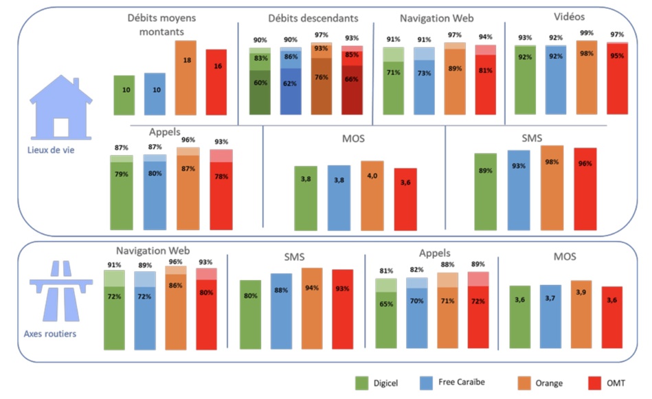
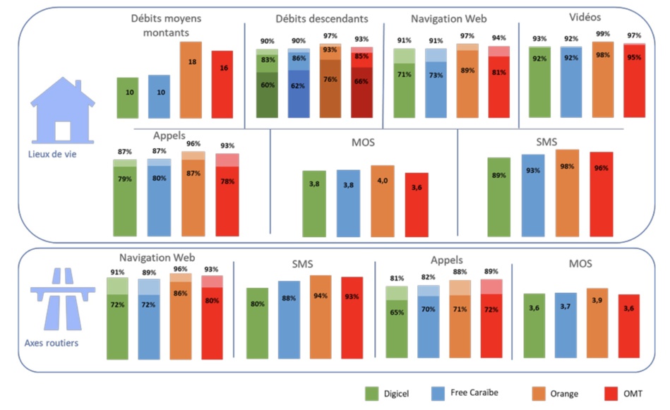
Martinique
En Martinique, la qualité vocale perçue lors d’un appel est bonne pour l’ensemble des opérateurs. Le réseau d’Orange demeure le plus performant sur une grande majorité des indicateurs tant pour les appels vocaux que les usages d’internet.
Outremer Télécom (OMT) se démarque particulièrement sur l’internet mobile (navigation web, visionnage de vidéos, etc.) et se rapproche d’Orange. Free Caraïbe se place deuxième sur la plupart des indicateurs de qualité des services Voix/SMS pour la deuxième année consécutive.
Outremer Télécom (OMT) se démarque particulièrement sur l’internet mobile (navigation web, visionnage de vidéos, etc.) et se rapproche d’Orange. Free Caraïbe se place deuxième sur la plupart des indicateurs de qualité des services Voix/SMS pour la deuxième année consécutive.
Guadeloupe
• En Guadeloupe, Orange est premier sur la grande majorité des indicateurs. OMT se démarque sur les usages d’internet (ex : navigation web, streaming, etc.) et se place deuxième. Free Caraïbe, dont les performances réseaux sont mesurées pour la deuxième fois, ansi que Digicel, enregistrent de bonnes performances sur la qualité vocale des appels et se placent deuxièmes sur les indicateurs dédiés.
Guyane
• En Guyane, Digicel se classe deuxième ex-aequo avec OMT sur une majorité d’indicateurs Voix (hors SMS) pour la première fois à l’occasion d’une campagne de l’Arcep. OMT présente également de bonnes performances sur les usages internet, l’opérateur se place en deuxième position. Orange conserve la première place sur la majorité des indicateurs de qualité de service internet mobile en Guyane, tout particulièrement en matière de débits offerts aux usagers, et ce, quelle que soit la classe d’usages considérée.
Saint-Barthélemy
• À Saint-Barthélemy et Saint-Martin, les performances tant en matière de qualité des appels que d’usages d’internet demeurent faibles par rapport au reste du territoire national, pour l’ensemble des opérateurs.
Orange présente les meilleures performances sur la plupart des indicateurs à Saint- Barthélémy. Digicel et Free Caraïbe se classent deuxièmes pour la voix et les SMS sur les deux territoires.
À Saint-Barthélemy et Saint-Martin, Dauphin Telecom présente de bons résultats sur la qualité de service internet mobile juste derrière Orange. UTS ferme la marche sur la majorité des indicateurs.
Orange présente les meilleures performances sur la plupart des indicateurs à Saint- Barthélémy. Digicel et Free Caraïbe se classent deuxièmes pour la voix et les SMS sur les deux territoires.
À Saint-Barthélemy et Saint-Martin, Dauphin Telecom présente de bons résultats sur la qualité de service internet mobile juste derrière Orange. UTS ferme la marche sur la majorité des indicateurs.
Saint Martin
Mayotte
• À Mayotte, la qualité de service mobile reste globalement plus faible que pour la majorité du territoire national. Les opérateurs SRR et Orange présentent la meilleure qualité de service mobile à Mayotte et se classent premier ex-aequo sur la grande majorité des indicateurs Voix/SMS comme internet mobile. Telco OI ferme la marche avec néanmoins de bons résultats sur les indicateurs Voix/SMS.
La Réunion
• À La Réunion, SRR et Orange se placent en tête sur une grande majorité des indicateurs mesurés lors de l’enquête Arcep, notamment l'internet mobile.
Sur les appels vocaux et les SMS, ZEOP mobile progresse et se place troisième. Telco OI présente de bonnes performances sur les usages internet mobile mais demeure en retrait dans les classements.
Sur les appels vocaux et les SMS, ZEOP mobile progresse et se place troisième. Telco OI présente de bonnes performances sur les usages internet mobile mais demeure en retrait dans les classements.
La Réunion - mesures 5G
La qualité de service des réseaux 5G des opérateurs ayant déployé cette technologie à La Réunion a été mesurée lors d’une campagne de qualité de service de l’Arcep pour la première fois en 2024.
L’enquête montre que la technologie 5G permet d’atteindre de meilleurs débits, tout particulièrement sur le réseau d’Orange, qui se place premier sur cet indicateur.
Néanmoins, les autres indicateurs internet mobile (temps de chargement de pages WEB, visionnage de vidéos...) présentent des résultats comparables à ceux mesurés en 4G.
À noter, que bien que l’opérateur Telco OI ait commencé à déployer un réseau 5G à La Réunion, les performances spécifiques de son réseau dans cette technologie n’ont pas pu être mesurées lors de cette enquête.
L’enquête montre que la technologie 5G permet d’atteindre de meilleurs débits, tout particulièrement sur le réseau d’Orange, qui se place premier sur cet indicateur.
Néanmoins, les autres indicateurs internet mobile (temps de chargement de pages WEB, visionnage de vidéos...) présentent des résultats comparables à ceux mesurés en 4G.
À noter, que bien que l’opérateur Telco OI ait commencé à déployer un réseau 5G à La Réunion, les performances spécifiques de son réseau dans cette technologie n’ont pas pu être mesurées lors de cette enquête.





















